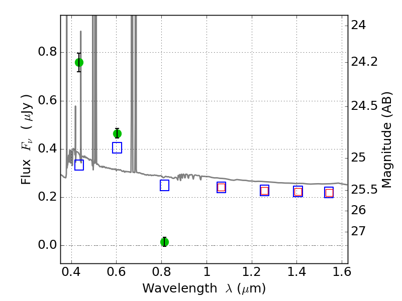
ABELL2813 ACS+IR detection object #4972

Color images and BPZ results
Catalog: 4972.cat
Black segments are analyzed here.   Roll mouse over color images to view segments.
Best viewed in a wide browser window (1200 pixels or more).   Download SED & P(z) plots to view larger versions.
In P(z) plots: Yellow lines mark the cluster redshift z = 0.292,  

Object #4972   x,y = (4038, 1497)   RA, Dec = (00:43:18.912, -20:38:24.72) = (10.82880, -20.64020)   BPZ = 0.019 [0.010--1.614]   type = 11.00 (SB11_A_0_l)   chisq2 = 136.90   ODDS = 0.95   z_cluster = 0.292