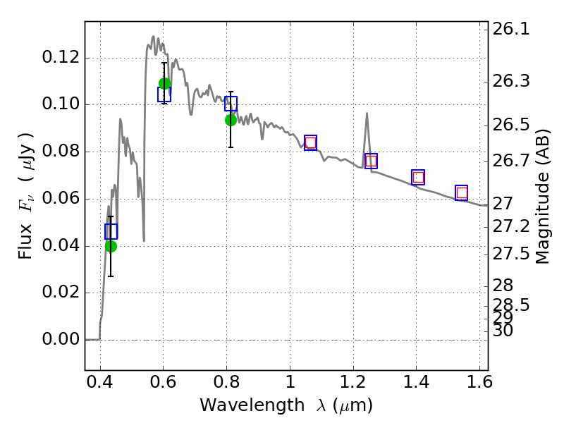
ABELL2813 ACS+IR detection object #4077

Color images and BPZ results
Catalog: 4077.cat
Black segments are analyzed here.   Roll mouse over color images to view segments.
Best viewed in a wide browser window (1200 pixels or more).   Download SED & P(z) plots to view larger versions.
In P(z) plots: Yellow lines mark the cluster redshift z = 0.292,  

Object #4077   x,y = (4511, 1980)   RA, Dec = (00:43:16.896, -20:37:55.92) = (10.82040, -20.63220)   BPZ = 3.443 [0.287--3.673]   type = 11.00 (SB11_A_0_l)   chisq2 = 0.61   ODDS = 0.49   z_cluster = 0.292