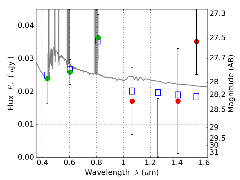
ABELL2813 ACS+IR detection object #4054

Color images and BPZ results
Catalog: 4054.cat
Black segments are analyzed here.   Roll mouse over color images to view segments.
Best viewed in a wide browser window (1200 pixels or more).   Download SED & P(z) plots to view larger versions.
In P(z) plots: Yellow lines mark the cluster redshift z = 0.292,  

Object #4054   x,y = (2099, 1989)   RA, Dec = (00:43:27.192, -20:37:55.20) = (10.86330, -20.63200)   BPZ = 0.196 [0.118--3.377]   type = 11.00 (SB11_A_0_l)   chisq2 = 0.99   ODDS = 0.07   z_cluster = 0.292