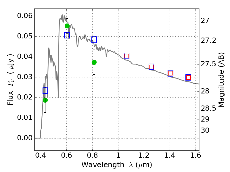
ABELL2813 ACS+IR detection object #337

Color images and BPZ results
Catalog: 337.cat
Black segments are analyzed here.   Roll mouse over color images to view segments.
Best viewed in a wide browser window (1200 pixels or more).   Download SED & P(z) plots to view larger versions.
In P(z) plots: Yellow lines mark the cluster redshift z = 0.292,  

Object #337   x,y = (2768, 4520)   RA, Dec = (00:43:24.336, -20:35:23.64) = (10.85140, -20.58990)   BPZ = 3.417 [2.399--3.647]   type = 11.00 (SB11_A_0_l)   chisq2 = 3.89   ODDS = 0.68   z_cluster = 0.292