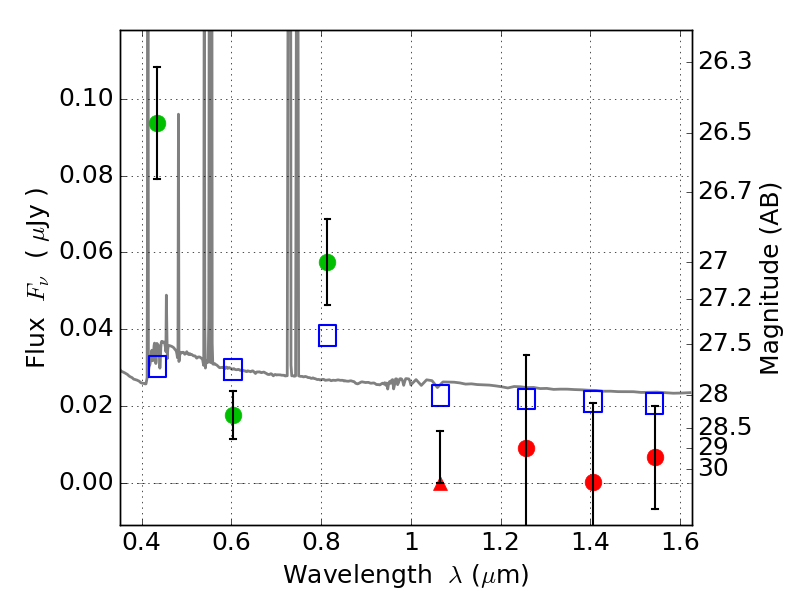
ABELL2813 ACS+IR detection object #3117

Color images and BPZ results
Catalog: 3117.cat
Black segments are analyzed here.   Roll mouse over color images to view segments.
Best viewed in a wide browser window (1200 pixels or more).   Download SED & P(z) plots to view larger versions.
In P(z) plots: Yellow lines mark the cluster redshift z = 0.292,  

Object #3117   x,y = (2469, 2468)   RA, Dec = (00:43:25.608, -20:37:26.76) = (10.85670, -20.62410)   BPZ = 0.110 [0.090--2.640]   type = 11.00 (SB11_A_0_l)   chisq2 = 7.31   ODDS = 0.18   z_cluster = 0.292