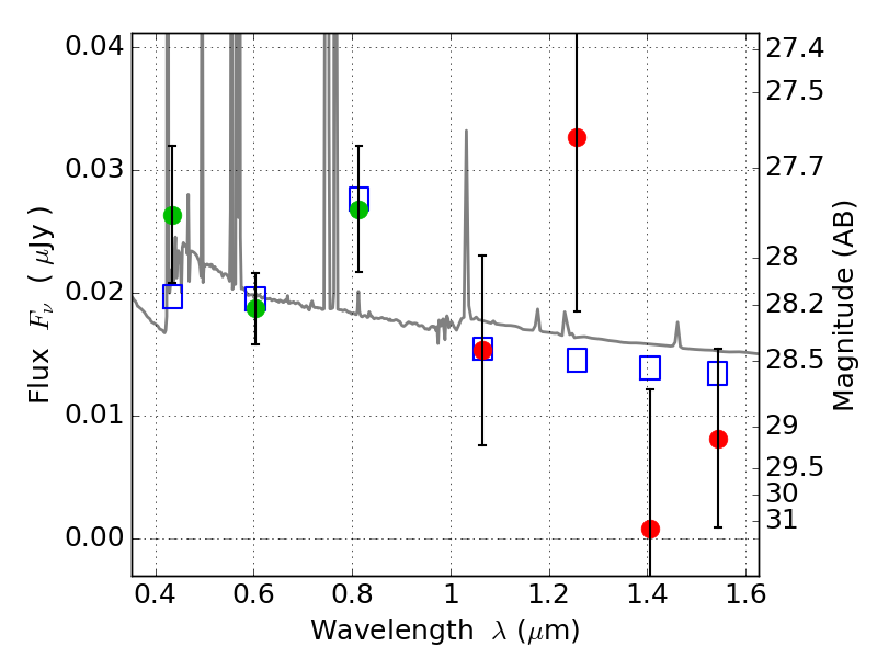
ABELL2813 ACS+IR detection object #3009

Color images and BPZ results
Catalog: 3009.cat
Black segments are analyzed here.   Roll mouse over color images to view segments.
Best viewed in a wide browser window (1200 pixels or more).   Download SED & P(z) plots to view larger versions.
In P(z) plots: Yellow lines mark the cluster redshift z = 0.292,  

Object #3009   x,y = (1815, 2539)   RA, Dec = (00:43:28.416, -20:37:22.44) = (10.86840, -20.62290)   BPZ = 0.137 [0.092--2.887]   type = 10.90 (SB11_A_0_l - SB3_B10)   chisq2 = 1.19   ODDS = 0.13   z_cluster = 0.292