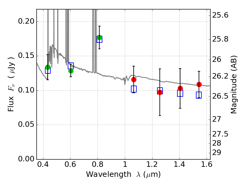
ABELL2813 ACS+IR detection object #2997

Color images and BPZ results
Catalog: 2997.cat
Black segments are analyzed here.   Roll mouse over color images to view segments.
Best viewed in a wide browser window (1200 pixels or more).   Download SED & P(z) plots to view larger versions.
In P(z) plots: Yellow lines mark the cluster redshift z = 0.292,  

Object #2997   x,y = (3188, 3140)   RA, Dec = (00:43:22.536, -20:36:46.44) = (10.84390, -20.61290)   BPZ = 0.168 [0.090--0.868]   type = 11.00 (SB11_A_0_l)   chisq2 = 0.29   ODDS = 0.41   z_cluster = 0.292