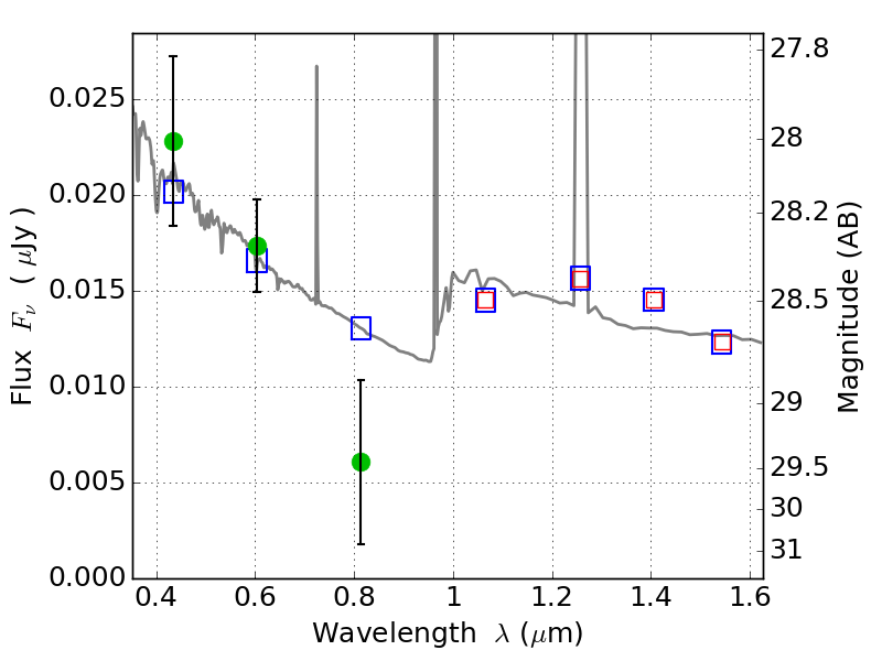
ABELL2813 ACS+IR detection object #2357

Color images and BPZ results
Catalog: 2357.cat
Black segments are analyzed here.   Roll mouse over color images to view segments.
Best viewed in a wide browser window (1200 pixels or more).   Download SED & P(z) plots to view larger versions.
In P(z) plots: Yellow lines mark the cluster redshift z = 0.292,  

Object #2357   x,y = (961, 2973)   RA, Dec = (00:43:32.064, -20:36:56.16) = (10.88360, -20.61560)   BPZ = 1.595 [1.076--2.741]   type = 11.00 (SB11_A_0_l)   chisq2 = 2.81   ODDS = 0.17   z_cluster = 0.292