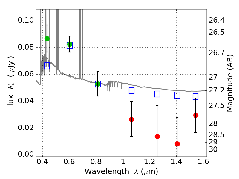
ABELL2813 ACS+IR detection object #2350

Color images and BPZ results
Catalog: 2350.cat
Black segments are analyzed here.   Roll mouse over color images to view segments.
Best viewed in a wide browser window (1200 pixels or more).   Download SED & P(z) plots to view larger versions.
In P(z) plots: Yellow lines mark the cluster redshift z = 0.292,  

Object #2350   x,y = (2310, 2957)   RA, Dec = (00:43:26.304, -20:36:57.24) = (10.85960, -20.61590)   BPZ = 0.042 [0.017--2.827]   type = 11.00 (SB11_A_0_l)   chisq2 = 2.85   ODDS = 0.32   z_cluster = 0.292