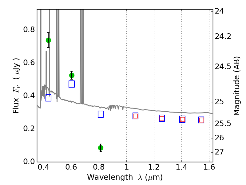
ABELL2813 ACS+IR detection object #2334

Color images and BPZ results
Catalog: 2334.cat
Black segments are analyzed here.   Roll mouse over color images to view segments.
Best viewed in a wide browser window (1200 pixels or more).   Download SED & P(z) plots to view larger versions.
In P(z) plots: Yellow lines mark the cluster redshift z = 0.292,  

Object #2334   x,y = (372, 2963)   RA, Dec = (00:43:34.584, -20:36:56.88) = (10.89410, -20.61580)   BPZ = 0.020 [0.010--1.695]   type = 11.00 (SB11_A_0_l)   chisq2 = 69.74   ODDS = 0.92   z_cluster = 0.292