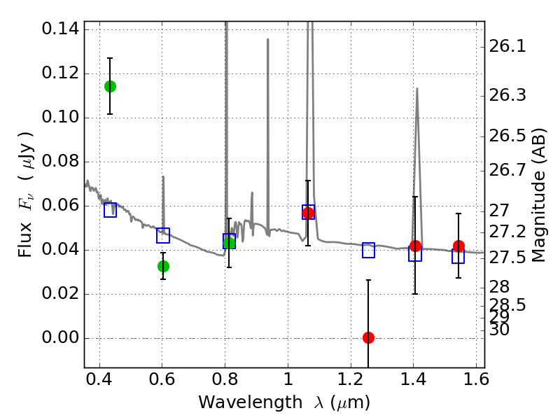
ABELL2813 ACS+IR detection object #1971

Color images and BPZ results
Catalog: 1971.cat
Black segments are analyzed here.   Roll mouse over color images to view segments.
Best viewed in a wide browser window (1200 pixels or more).   Download SED & P(z) plots to view larger versions.
In P(z) plots: Yellow lines mark the cluster redshift z = 0.292,  

Object #1971   x,y = (3489, 3275)   RA, Dec = (00:43:21.264, -20:36:38.16) = (10.83860, -20.61060)   BPZ = 1.163 [0.815--2.335]   type = 11.00 (SB11_A_0_l)   chisq2 = 6.01   ODDS = 0.19   z_cluster = 0.292