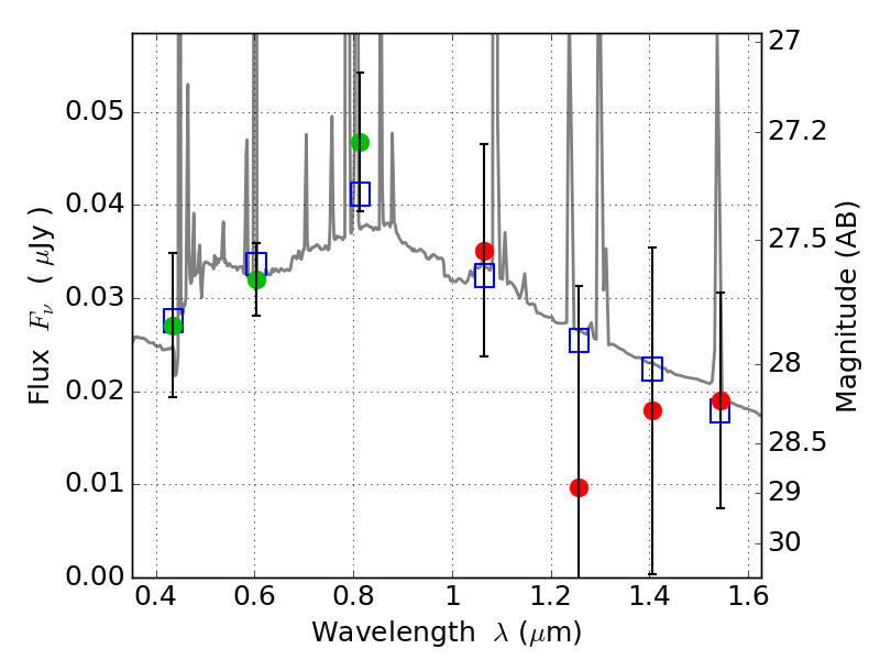
ABELL2813 ACS+IR detection object #1957

Color images and BPZ results
Catalog: 1957.cat
Black segments are analyzed here.   Roll mouse over color images to view segments.
Best viewed in a wide browser window (1200 pixels or more).   Download SED & P(z) plots to view larger versions.
In P(z) plots: Yellow lines mark the cluster redshift z = 0.292,  

Object #1957   x,y = (3196, 3285)   RA, Dec = (00:43:22.512, -20:36:37.44) = (10.84380, -20.61040)   BPZ = 0.197 [0.092--3.332]   type = 10.00 (SB3_B10)   chisq2 = 0.32   ODDS = 0.23   z_cluster = 0.292