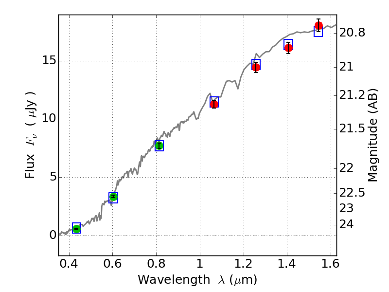
ABELL2537 IR detection object #451

Color images and BPZ results
Catalog: 451.cat
Black segments are analyzed here.   Roll mouse over color images to view segments.
Best viewed in a wide browser window (1200 pixels or more).   Download SED & P(z) plots to view larger versions.
In P(z) plots: Yellow lines mark the cluster redshift z = 0.297,  

Object #451   x,y = (2427, 2450)   RA, Dec = (23:08:21.912, -2:11:31.56) = (347.09130, -2.19210)   BPZ = 0.382 [0.298--0.419]   type = 3.20 (Ell5_A_0 - Ell4_A_0)   chisq2 = 0.07   ODDS = 0.88   z_cluster = 0.297