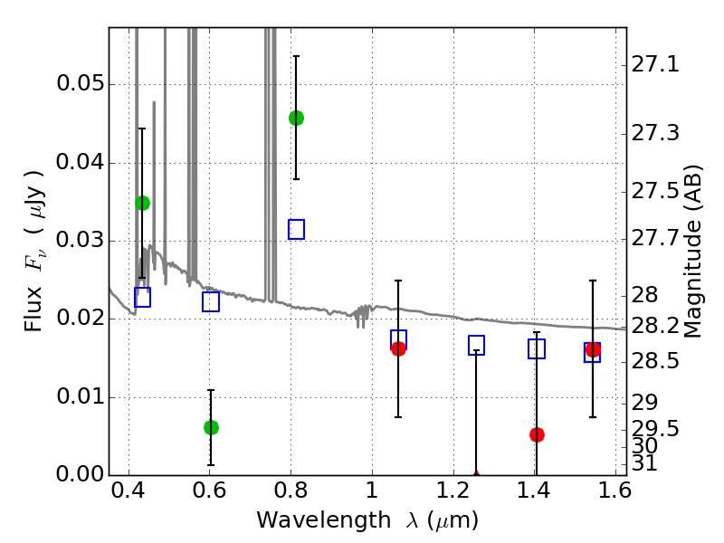
ABELL2537 ACS+IR detection object #3923

Color images and BPZ results
Catalog: 3923.cat
Black segments are analyzed here.   Roll mouse over color images to view segments.
Best viewed in a wide browser window (1200 pixels or more).   Download SED & P(z) plots to view larger versions.
In P(z) plots: Yellow lines mark the cluster redshift z = 0.297,  

Object #3923   x,y = (2310, 1697)   RA, Dec = (23:08:22.392, -2:12:16.56) = (347.09330, -2.20460)   BPZ = 0.132 [0.091--4.821]   type = 11.00 (SB11_A_0_l)   chisq2 = 2.70   ODDS = 0.43   z_cluster = 0.297