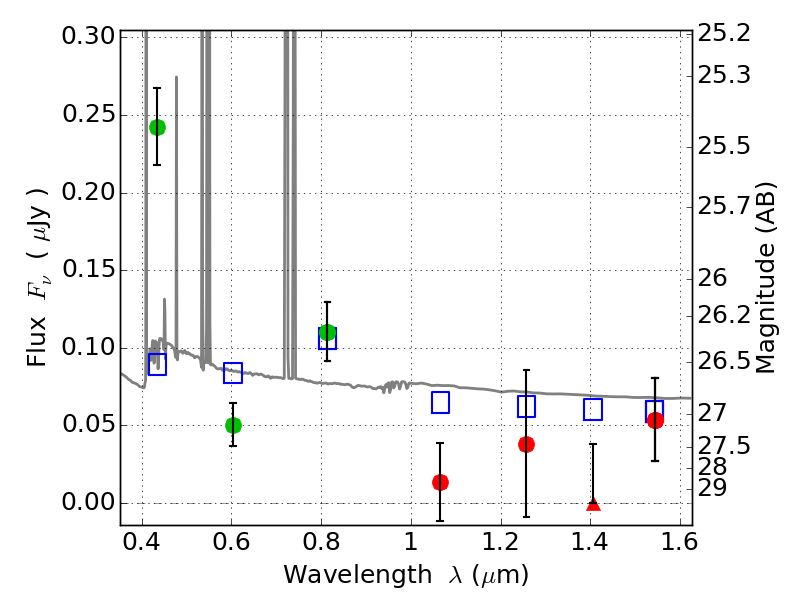
ABELL2537 ACS+IR detection object #2304

Color images and BPZ results
Catalog: 2304.cat
Black segments are analyzed here.   Roll mouse over color images to view segments.
Best viewed in a wide browser window (1200 pixels or more).   Download SED & P(z) plots to view larger versions.
In P(z) plots: Yellow lines mark the cluster redshift z = 0.297,  

Object #2304   x,y = (1731, 2667)   RA, Dec = (23:08:24.720, -2:11:18.60) = (347.10300, -2.18850)   BPZ = 0.097 [0.088--2.481]   type = 11.00 (SB11_A_0_l)   chisq2 = 6.64   ODDS = 0.14   z_cluster = 0.297