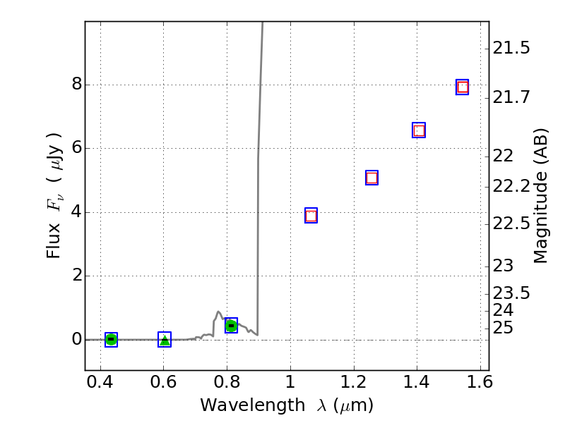
ABELL2537 ACS+IR detection object #2138

Color images and BPZ results
Catalog: 2138.cat
Black segments are analyzed here.   Roll mouse over color images to view segments.
Best viewed in a wide browser window (1200 pixels or more).   Download SED & P(z) plots to view larger versions.
In P(z) plots: Yellow lines mark the cluster redshift z = 0.297,  

Object #2138   x,y = (4427, 2827)   RA, Dec = (23:08:13.920, -2:11:08.88) = (347.05800, -2.18580)   BPZ = 6.386 [5.981--9.089]   type = 6.00 (Sbc_B10)   chisq2 = 0.00   ODDS = 0.37   z_cluster = 0.297