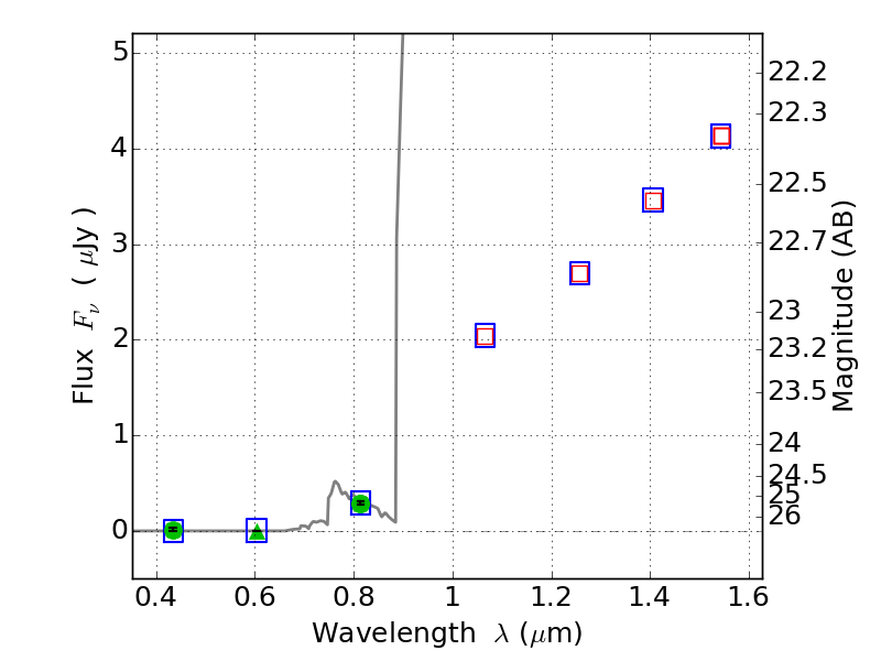
ABELL2537 ACS+IR detection object #1587

Color images and BPZ results
Catalog: 1587.cat
Black segments are analyzed here.   Roll mouse over color images to view segments.
Best viewed in a wide browser window (1200 pixels or more).   Download SED & P(z) plots to view larger versions.
In P(z) plots: Yellow lines mark the cluster redshift z = 0.297,  

Object #1587   x,y = (4517, 3161)   RA, Dec = (23:08:13.560, -2:10:48.72) = (347.05650, -2.18020)   BPZ = 6.290 [5.915--9.127]   type = 6.00 (Sbc_B10)   chisq2 = 0.00   ODDS = 0.35   z_cluster = 0.297