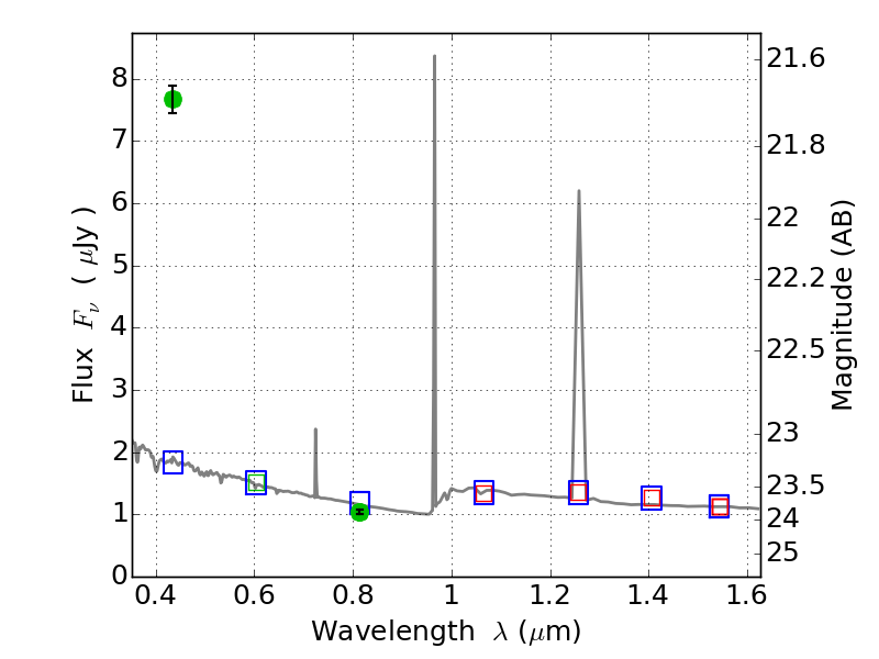
ABELL2537 ACS+IR detection object #1339

Color images and BPZ results
Catalog: 1339.cat
Black segments are analyzed here.   Roll mouse over color images to view segments.
Best viewed in a wide browser window (1200 pixels or more).   Download SED & P(z) plots to view larger versions.
In P(z) plots: Yellow lines mark the cluster redshift z = 0.297,  

Object #1339   x,y = (918, 3308)   RA, Dec = (23:08:27.960, -2:10:40.08) = (347.11650, -2.17780)   BPZ = 1.592 [1.555--1.765]   type = 11.00 (SB11_A_0_l)   chisq2 = 516.90   ODDS = 0.94   z_cluster = 0.297