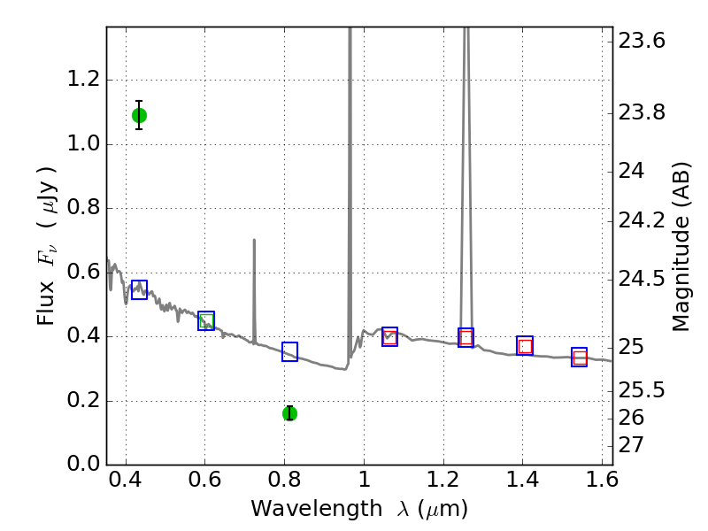
ABELL2537 ACS+IR detection object #960

Color images and BPZ results
Catalog: 960.cat
Black segments are analyzed here.   Roll mouse over color images to view segments.
Best viewed in a wide browser window (1200 pixels or more).   Download SED & P(z) plots to view larger versions.
In P(z) plots: Yellow lines mark the cluster redshift z = 0.297,  

Object #960   x,y = (1429, 3945)   RA, Dec = (23:08:27.912, -2:10:31.80) = (347.11630, -2.17550)   BPZ = 1.593 [1.510--1.939]   type = 11.00 (SB11_A_0_l)   chisq2 = 111.20   ODDS = 0.84   z_cluster = 0.297