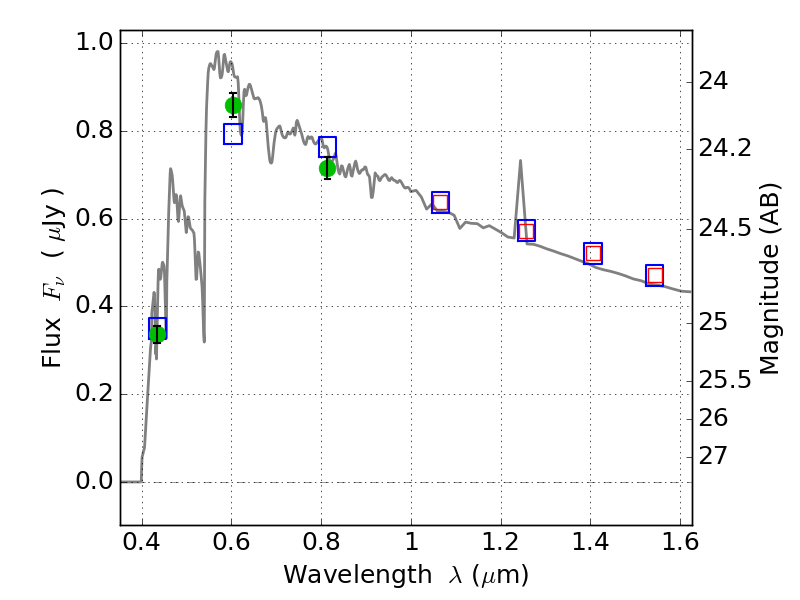
ABELL2537 ACS+IR detection object #4909
Color images and BPZ results
Catalog: 4909.cat
Black segments are analyzed here. Roll mouse over color images to view segments.
Best viewed in a wide browser window (1200 pixels or more). Download SED & P(z) plots to view larger versions.
In P(z) plots: Yellow lines mark the cluster redshift z = 0.297,
Object #4909 x,y = (4077, 1257) RA, Dec = (23:08:17.304, -2:13:13.08) = (347.07210, -2.22030) BPZ = 3.442 [3.381--3.496] type = 11.00 (SB11_A_0_l) chisq2 = 1.96 ODDS = 1.00 z_cluster = 0.297