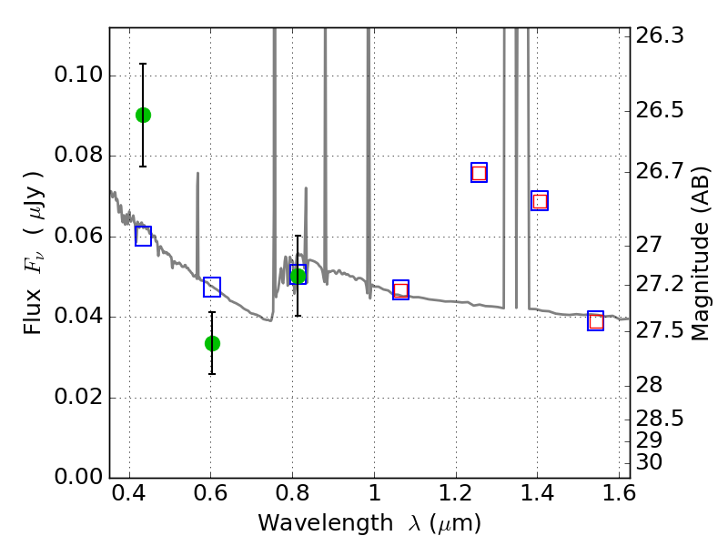
ABELL2537 ACS+IR detection object #4512

Color images and BPZ results
Catalog: 4512.cat
Black segments are analyzed here.   Roll mouse over color images to view segments.
Best viewed in a wide browser window (1200 pixels or more).   Download SED & P(z) plots to view larger versions.
In P(z) plots: Yellow lines mark the cluster redshift z = 0.297,  

Object #4512   x,y = (2348, 1600)   RA, Dec = (23:08:24.240, -2:12:52.56) = (347.10100, -2.21460)   BPZ = 1.034 [0.699--2.434]   type = 11.00 (SB11_A_0_l)   chisq2 = 7.04   ODDS = 0.17   z_cluster = 0.297