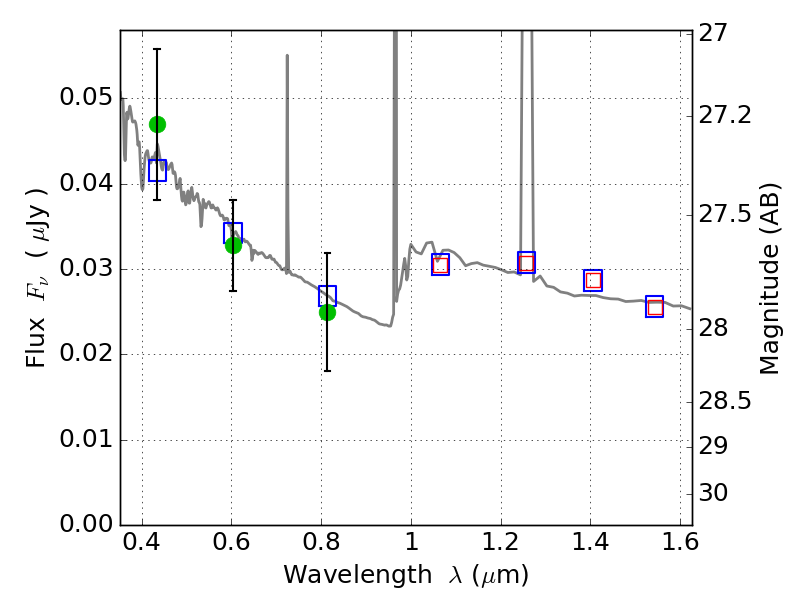
ABELL2537 ACS+IR detection object #4447
Color images and BPZ results
Catalog: 4447.cat
Black segments are analyzed here. Roll mouse over color images to view segments.
Best viewed in a wide browser window (1200 pixels or more). Download SED & P(z) plots to view larger versions.
In P(z) plots: Yellow lines mark the cluster redshift z = 0.297,
Object #4447 x,y = (3182, 1673) RA, Dec = (23:08:20.904, -2:12:48.24) = (347.08710, -2.21340) BPZ = 1.592 [0.767--2.704] type = 11.00 (SB11_A_0_l) chisq2 = 0.46 ODDS = 0.16 z_cluster = 0.297