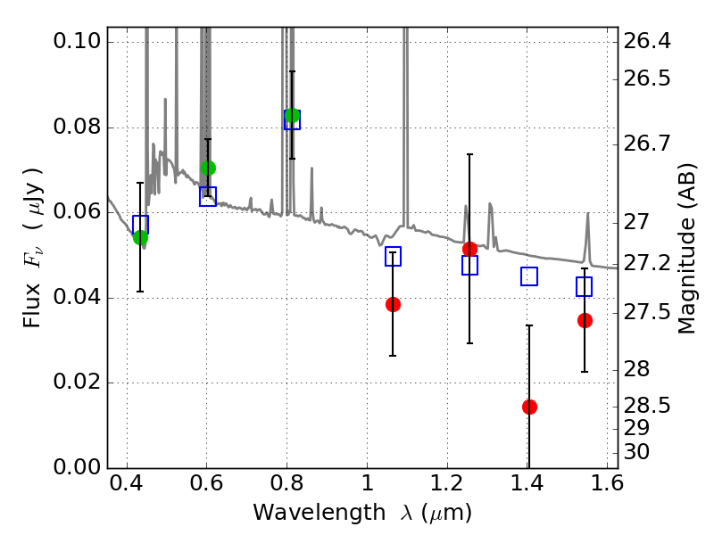
ABELL2537 ACS+IR detection object #4240

Color images and BPZ results
Catalog: 4240.cat
Black segments are analyzed here.   Roll mouse over color images to view segments.
Best viewed in a wide browser window (1200 pixels or more).   Download SED & P(z) plots to view larger versions.
In P(z) plots: Yellow lines mark the cluster redshift z = 0.297,  

Object #4240   x,y = (2631, 1823)   RA, Dec = (23:08:23.112, -2:12:39.24) = (347.09630, -2.21090)   BPZ = 0.213 [0.073--3.242]   type = 10.80 (SB11_A_0_l - SB3_B10)   chisq2 = 1.03   ODDS = 0.36   z_cluster = 0.297