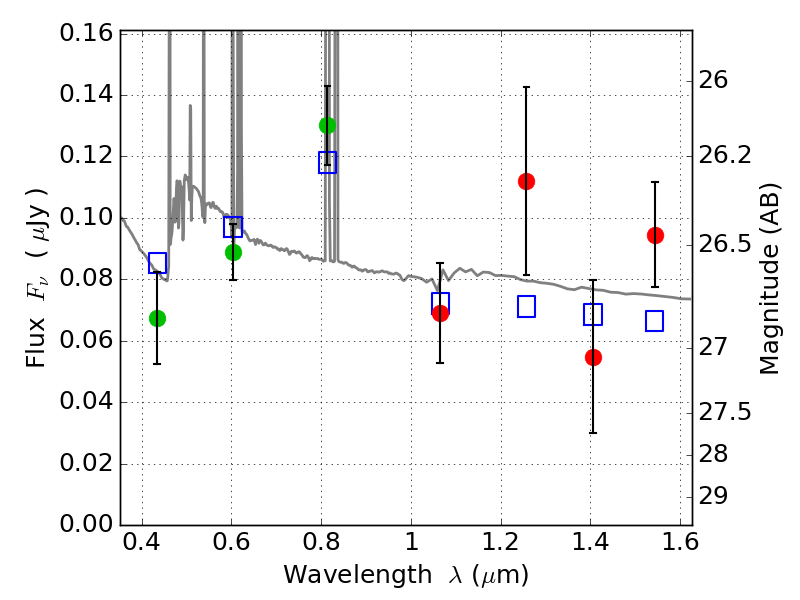
ABELL2537 ACS+IR detection object #4194
Color images and BPZ results
Catalog: 4194.cat
Black segments are analyzed here. Roll mouse over color images to view segments.
Best viewed in a wide browser window (1200 pixels or more). Download SED & P(z) plots to view larger versions.
In P(z) plots: Yellow lines mark the cluster redshift z = 0.297,
Object #4194 x,y = (2883, 1850) RA, Dec = (23:08:22.104, -2:12:37.44) = (347.09210, -2.21040) BPZ = 0.236 [0.103--3.337] type = 11.00 (SB11_A_0_l) chisq2 = 1.62 ODDS = 0.38 z_cluster = 0.297