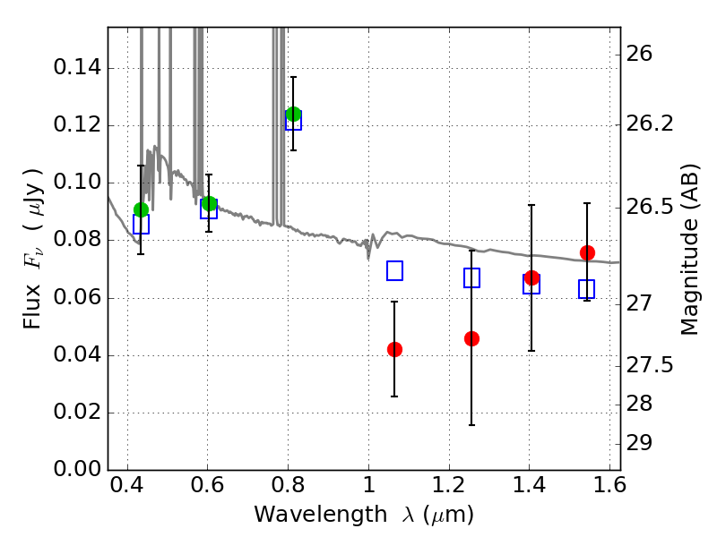
ABELL2537 ACS+IR detection object #3037

Color images and BPZ results
Catalog: 3037.cat
Black segments are analyzed here.   Roll mouse over color images to view segments.
Best viewed in a wide browser window (1200 pixels or more).   Download SED & P(z) plots to view larger versions.
In P(z) plots: Yellow lines mark the cluster redshift z = 0.297,  

Object #3037   x,y = (3517, 2633)   RA, Dec = (23:08:19.560, -2:11:50.28) = (347.08150, -2.19730)   BPZ = 0.172 [0.088--2.643]   type = 11.00 (SB11_A_0_l)   chisq2 = 0.82   ODDS = 0.45   z_cluster = 0.297