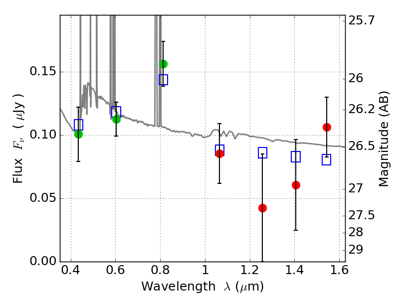
ABELL2537 ACS+IR detection object #2960

Color images and BPZ results
Catalog: 2960.cat
Black segments are analyzed here.   Roll mouse over color images to view segments.
Best viewed in a wide browser window (1200 pixels or more).   Download SED & P(z) plots to view larger versions.
In P(z) plots: Yellow lines mark the cluster redshift z = 0.297,  

Object #2960   x,y = (3410, 2681)   RA, Dec = (23:08:19.992, -2:11:47.76) = (347.08330, -2.19660)   BPZ = 0.195 [0.091--3.113]   type = 11.00 (SB11_A_0_l)   chisq2 = 0.75   ODDS = 0.38   z_cluster = 0.297