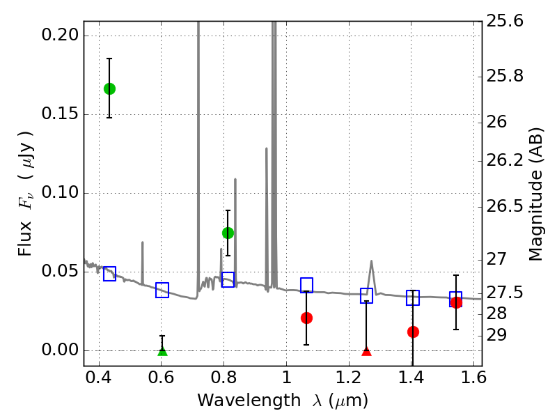
ABELL2537 ACS+IR detection object #2908

Color images and BPZ results
Catalog: 2908.cat
Black segments are analyzed here.   Roll mouse over color images to view segments.
Best viewed in a wide browser window (1200 pixels or more).   Download SED & P(z) plots to view larger versions.
In P(z) plots: Yellow lines mark the cluster redshift z = 0.297,  

Object #2908   x,y = (2831, 2724)   RA, Dec = (23:08:22.296, -2:11:44.88) = (347.09290, -2.19580)   BPZ = 0.928 [0.121--2.439]   type = 11.00 (SB11_A_0_l)   chisq2 = 15.21   ODDS = 0.28   z_cluster = 0.297