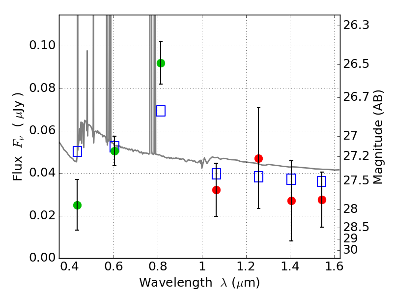
ABELL2537 ACS+IR detection object #2728

Color images and BPZ results
Catalog: 2728.cat
Black segments are analyzed here.   Roll mouse over color images to view segments.
Best viewed in a wide browser window (1200 pixels or more).   Download SED & P(z) plots to view larger versions.
In P(z) plots: Yellow lines mark the cluster redshift z = 0.297,  

Object #2728   x,y = (3152, 3061)   RA, Dec = (23:08:21.024, -2:11:24.72) = (347.08760, -2.19020)   BPZ = 0.171 [0.099--3.872]   type = 11.00 (SB11_A_0_l)   chisq2 = 2.29   ODDS = 0.44   z_cluster = 0.297