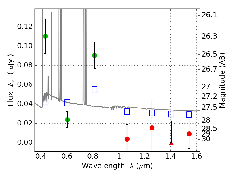
ABELL2537 ACS+IR detection object #2193

Color images and BPZ results
Catalog: 2193.cat
Black segments are analyzed here.   Roll mouse over color images to view segments.
Best viewed in a wide browser window (1200 pixels or more).   Download SED & P(z) plots to view larger versions.
In P(z) plots: Yellow lines mark the cluster redshift z = 0.297,  

Object #2193   x,y = (3088, 3096)   RA, Dec = (23:08:21.264, -2:11:22.56) = (347.08860, -2.18960)   BPZ = 0.112 [0.084--2.425]   type = 11.00 (SB11_A_0_l)   chisq2 = 7.85   ODDS = 0.50   z_cluster = 0.297