ABELL2537 ACS+IR detection object #1001

Color images and BPZ results
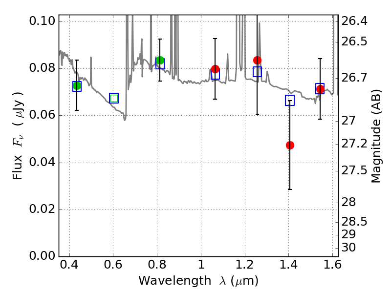
Catalog: 1001.cat
Black segments are analyzed here.   Roll mouse over color images to view segments.
Best viewed in a wide browser window (1200 pixels or more).   Download SED & P(z) plots to view larger versions.
In P(z) plots: Yellow lines mark the cluster redshift z = 0.297,  

Object #1001   x,y = (1985, 3903)   RA, Dec = (23:08:25.680, -2:10:34.32) = (347.10700, -2.17620)   BPZ = 0.778 [0.177--3.214]   type = 10.50 (SB11_A_0_l - SB3_B10)   chisq2 = 0.34   ODDS = 0.17   z_cluster = 0.297