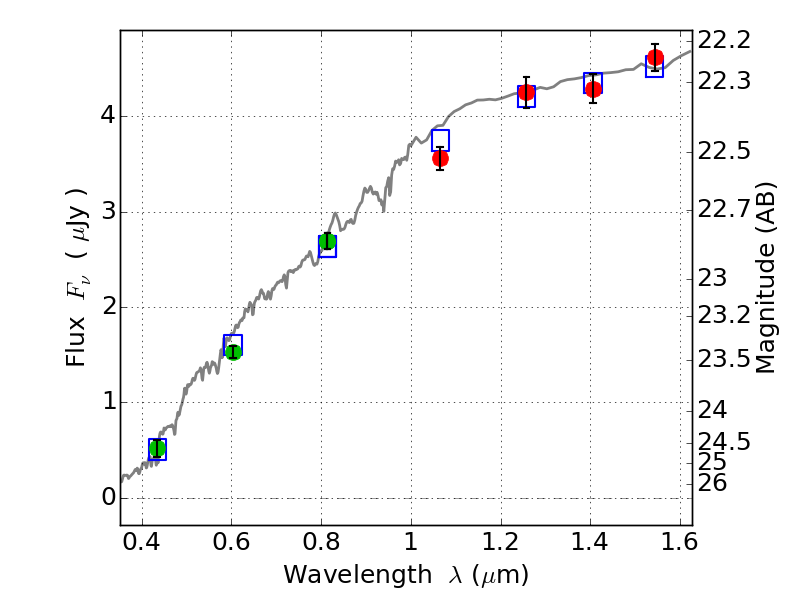
ABELL2163 IR detection object #974

Color images and BPZ results
Catalog: 974.cat
Black segments are analyzed here.   Roll mouse over color images to view segments.
Best viewed in a wide browser window (1200 pixels or more).   Download SED & P(z) plots to view larger versions.
In P(z) plots: Yellow lines mark the cluster redshift z = 0.203,  

Object #974   x,y = (3264, 3998)   RA, Dec = (16:15:46.368, -6:08:24.72) = (243.94320, -6.14020)   BPZ = 0.100 [0.037--0.516]   type = 3.70 (Ell4_A_0 - Ell5_A_0)   chisq2 = 0.10   ODDS = 0.73   z_cluster = 0.203