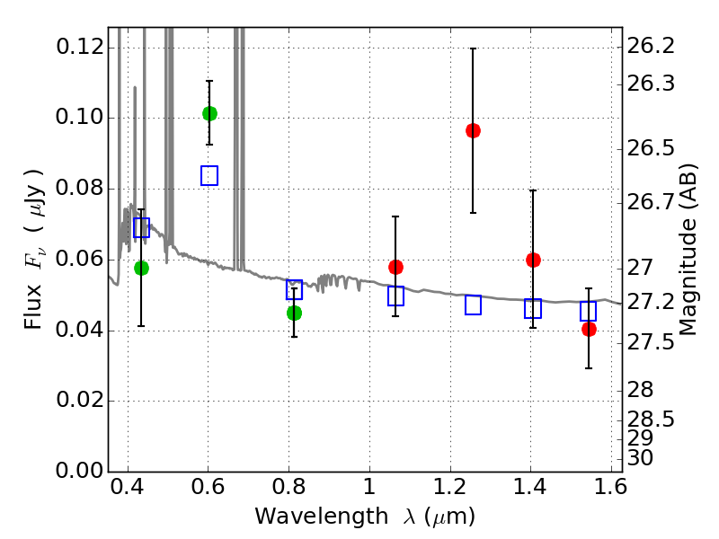
ABELL2163 IR detection object #75

Color images and BPZ results
Catalog: 75.cat
Black segments are analyzed here.   Roll mouse over color images to view segments.
Best viewed in a wide browser window (1200 pixels or more).   Download SED & P(z) plots to view larger versions.
In P(z) plots: Yellow lines mark the cluster redshift z = 0.203,  

Object #75   x,y = (2696, 5760)   RA, Dec = (16:15:48.648, -6:06:39.24) = (243.95270, -6.11090)   BPZ = 0.025 [0.012--2.622]   type = 11.00 (SB11_A_0_l)   chisq2 = 1.69   ODDS = 0.42   z_cluster = 0.203