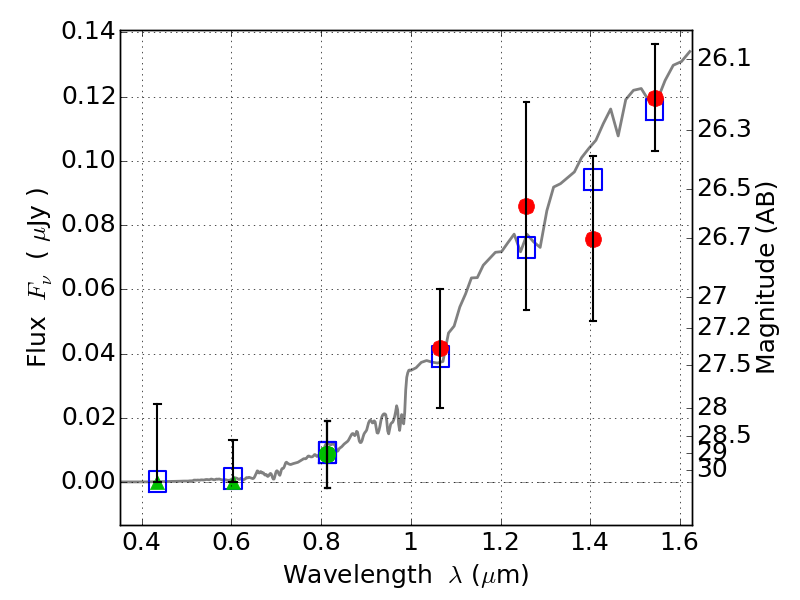
ABELL2163 IR detection object #386

Color images and BPZ results
Catalog: 386.cat
Black segments are analyzed here.   Roll mouse over color images to view segments.
Best viewed in a wide browser window (1200 pixels or more).   Download SED & P(z) plots to view larger versions.
In P(z) plots: Yellow lines mark the cluster redshift z = 0.203,  

Object #386   x,y = (3913, 4912)   RA, Dec = (16:15:43.752, -6:07:30.00) = (243.93230, -6.12500)   BPZ = 1.477 [1.068--7.239]   type = 2.00 (Ell6_A_0)   chisq2 = 0.11   ODDS = 0.21   z_cluster = 0.203