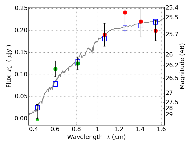
ABELL2163 IR detection object #1829

Color images and BPZ results
Catalog: 1829.cat
Black segments are analyzed here.   Roll mouse over color images to view segments.
Best viewed in a wide browser window (1200 pixels or more).   Download SED & P(z) plots to view larger versions.
In P(z) plots: Yellow lines mark the cluster redshift z = 0.203,  

Object #1829   x,y = (3479, 2431)   RA, Dec = (16:15:45.504, -6:09:59.04) = (243.93960, -6.16640)   BPZ = 0.109 [0.042--3.719]   type = 4.00 (Ell4_A_0)   chisq2 = 0.69   ODDS = 0.16   z_cluster = 0.203