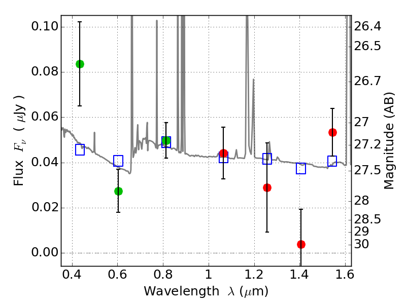
ABELL2163 IR detection object #1455

Color images and BPZ results
Catalog: 1455.cat
Black segments are analyzed here.   Roll mouse over color images to view segments.
Best viewed in a wide browser window (1200 pixels or more).   Download SED & P(z) plots to view larger versions.
In P(z) plots: Yellow lines mark the cluster redshift z = 0.203,  

Object #1455   x,y = (4185, 3117)   RA, Dec = (16:15:42.672, -6:09:17.64) = (243.92780, -6.15490)   BPZ = 0.779 [0.161--3.043]   type = 10.70 (SB11_A_0_l - SB3_B10)   chisq2 = 2.02   ODDS = 0.20   z_cluster = 0.203