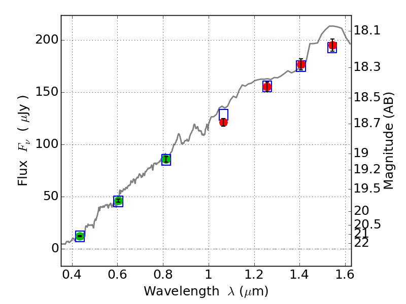
ABELL2163 IR detection object #1305

Color images and BPZ results
Catalog: 1305.cat
Black segments are analyzed here.   Roll mouse over color images to view segments.
Best viewed in a wide browser window (1200 pixels or more).   Download SED & P(z) plots to view larger versions.
In P(z) plots: Yellow lines mark the cluster redshift z = 0.203,  

Object #1305   x,y = (4742, 3365)   RA, Dec = (16:15:40.416, -6:09:02.88) = (243.91840, -6.15080)   BPZ = 0.151 [0.122--0.240]   type = 4.80 (ES0_B10 - Ell4_A_0)   chisq2 = 0.06   ODDS = 0.88   z_cluster = 0.203