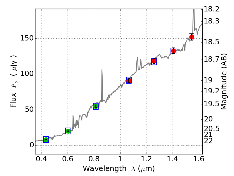
ABELL2163 IR detection object #1170

Color images and BPZ results
Catalog: 1170.cat
Black segments are analyzed here.   Roll mouse over color images to view segments.
Best viewed in a wide browser window (1200 pixels or more).   Download SED & P(z) plots to view larger versions.
In P(z) plots: Yellow lines mark the cluster redshift z = 0.203,  

Object #1170   x,y = (2858, 3498)   RA, Dec = (16:15:48.000, -6:08:54.96) = (243.95000, -6.14860)   BPZ = 0.721 [0.636--0.790]   type = 6.40 (Sbc_B10 - Scd_B10)   chisq2 = 0.00   ODDS = 0.93   z_cluster = 0.203