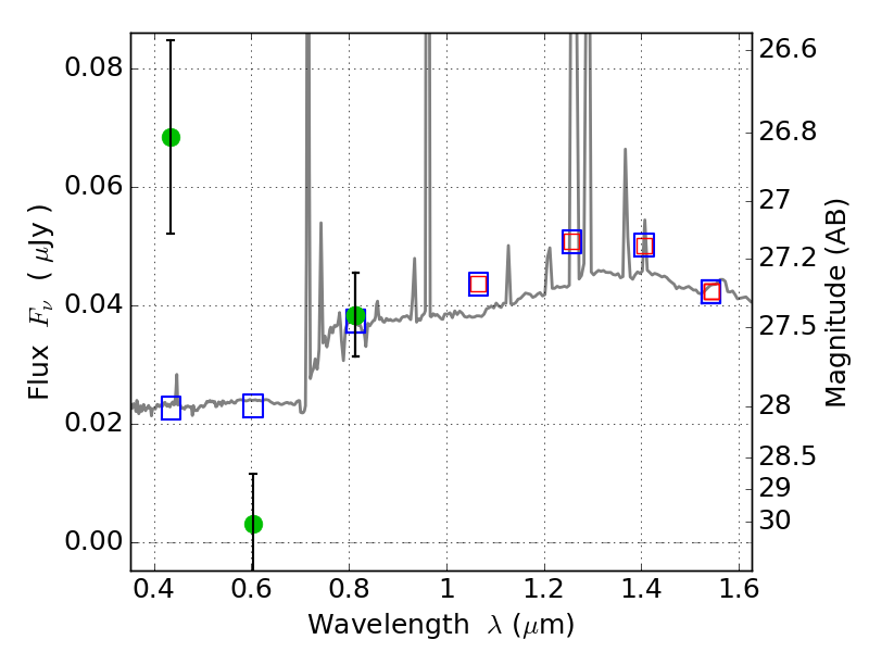
ABELL2163 ACS+IR detection object #915

Color images and BPZ results
Catalog: 915.cat
Black segments are analyzed here.   Roll mouse over color images to view segments.
Best viewed in a wide browser window (1200 pixels or more).   Download SED & P(z) plots to view larger versions.
In P(z) plots: Yellow lines mark the cluster redshift z = 0.203,  

Object #915   x,y = (4014, 1435)   RA, Dec = (16:15:43.344, -6:10:58.80) = (243.93060, -6.18300)   BPZ = 0.919 [0.389--10.330]   type = 9.70 (SB3_B10 - SB2_B10)   chisq2 = 6.22   ODDS = 0.11   z_cluster = 0.203