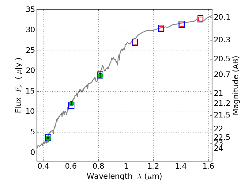
ABELL2163 ACS+IR detection object #8310

Color images and BPZ results
Catalog: 8310.cat
Black segments are analyzed here.   Roll mouse over color images to view segments.
Best viewed in a wide browser window (1200 pixels or more).   Download SED & P(z) plots to view larger versions.
In P(z) plots: Yellow lines mark the cluster redshift z = 0.203,  

Object #8310   x,y = (1104, 5677)   RA, Dec = (16:15:55.056, -6:06:44.28) = (243.97940, -6.11230)   BPZ = 0.098 [0.062--0.129]   type = 3.60 (Ell4_A_0 - Ell5_A_0)   chisq2 = 0.04   ODDS = 0.99   z_cluster = 0.203