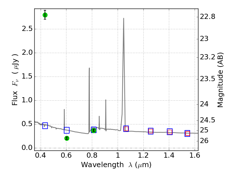
ABELL2163 ACS+IR detection object #8087

Color images and BPZ results
Catalog: 8087.cat
Black segments are analyzed here.   Roll mouse over color images to view segments.
Best viewed in a wide browser window (1200 pixels or more).   Download SED & P(z) plots to view larger versions.
In P(z) plots: Yellow lines mark the cluster redshift z = 0.203,  

Object #8087   x,y = (3969, 5930)   RA, Dec = (16:15:43.536, -6:06:28.80) = (243.93140, -6.10800)   BPZ = 1.093 [0.978--1.296]   type = 11.00 (SB11_A_0_l)   chisq2 = 280.20   ODDS = 0.74   z_cluster = 0.203