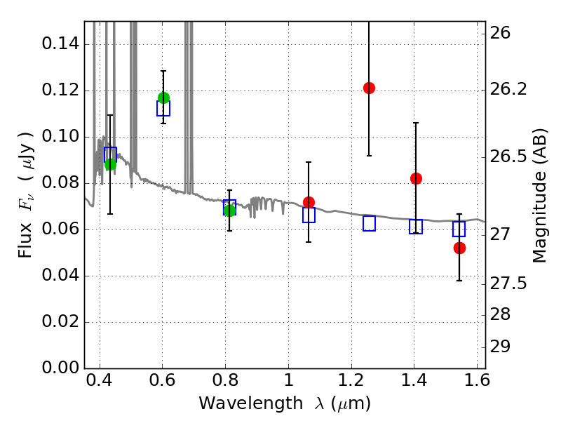
ABELL2163 ACS+IR detection object #8046

Color images and BPZ results
Catalog: 8046.cat
Black segments are analyzed here.   Roll mouse over color images to view segments.
Best viewed in a wide browser window (1200 pixels or more).   Download SED & P(z) plots to view larger versions.
In P(z) plots: Yellow lines mark the cluster redshift z = 0.203,  

Object #8046   x,y = (2696, 5759)   RA, Dec = (16:15:48.648, -6:06:39.24) = (243.95270, -6.11090)   BPZ = 0.032 [0.017--2.846]   type = 11.00 (SB11_A_0_l)   chisq2 = 0.68   ODDS = 0.20   z_cluster = 0.203