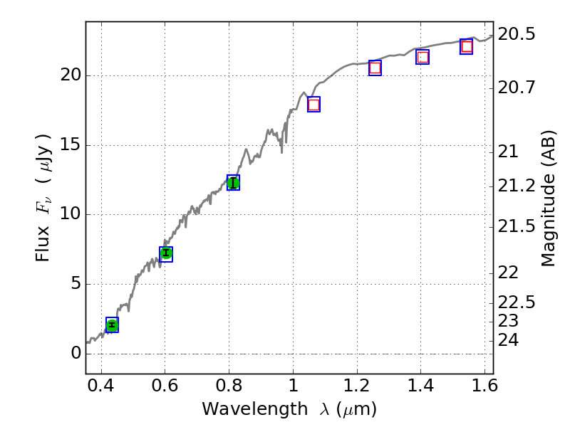
ABELL2163 ACS+IR detection object #791

Color images and BPZ results
Catalog: 791.cat
Black segments are analyzed here.   Roll mouse over color images to view segments.
Best viewed in a wide browser window (1200 pixels or more).   Download SED & P(z) plots to view larger versions.
In P(z) plots: Yellow lines mark the cluster redshift z = 0.203,  

Object #791   x,y = (3981, 1353)   RA, Dec = (16:15:43.488, -6:11:03.48) = (243.93120, -6.18430)   BPZ = 0.131 [0.075--0.169]   type = 3.10 (Ell5_A_0 - Ell4_A_0)   chisq2 = 0.00   ODDS = 0.93   z_cluster = 0.203