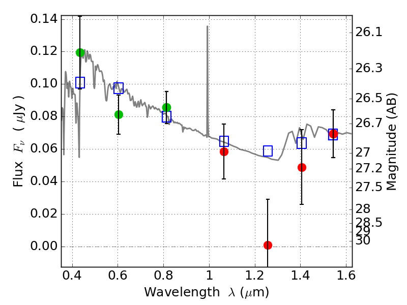
ABELL2163 ACS+IR detection object #7846

Color images and BPZ results
Catalog: 7846.cat
Black segments are analyzed here.   Roll mouse over color images to view segments.
Best viewed in a wide browser window (1200 pixels or more).   Download SED & P(z) plots to view larger versions.
In P(z) plots: Yellow lines mark the cluster redshift z = 0.203,  

Object #7846   x,y = (4048, 1622)   RA, Dec = (16:15:43.200, -6:10:47.28) = (243.93000, -6.17980)   BPZ = 2.553 [0.329--3.085]   type = 11.00 (SB11_A_0_l)   chisq2 = 0.90   ODDS = 0.34   z_cluster = 0.203