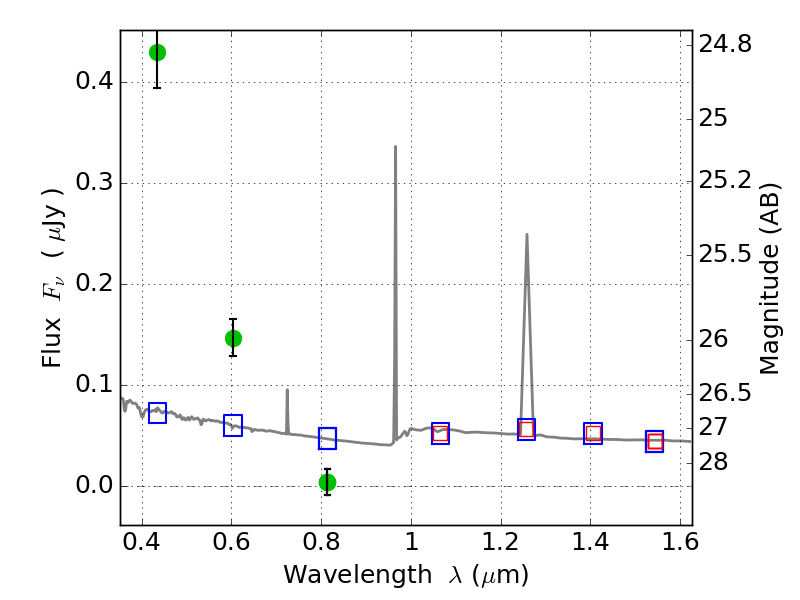
ABELL2163 ACS+IR detection object #78

Color images and BPZ results
Catalog: 78.cat
Black segments are analyzed here.   Roll mouse over color images to view segments.
Best viewed in a wide browser window (1200 pixels or more).   Download SED & P(z) plots to view larger versions.
In P(z) plots: Yellow lines mark the cluster redshift z = 0.203,  

Object #78   x,y = (3932, 382)   RA, Dec = (16:15:43.680, -6:12:01.80) = (243.93200, -6.20050)   BPZ = 1.595 [1.368--2.312]   type = 11.00 (SB11_A_0_l)   chisq2 = 73.15   ODDS = 0.32   z_cluster = 0.203