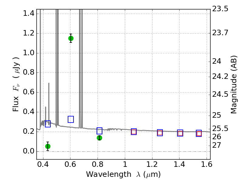
ABELL2163 ACS+IR detection object #7271

Color images and BPZ results
Catalog: 7271.cat
Black segments are analyzed here.   Roll mouse over color images to view segments.
Best viewed in a wide browser window (1200 pixels or more).   Download SED & P(z) plots to view larger versions.
In P(z) plots: Yellow lines mark the cluster redshift z = 0.203,  

Object #7271   x,y = (2821, 2013)   RA, Dec = (16:15:48.144, -6:10:23.88) = (243.95060, -6.17330)   BPZ = 0.017 [0.010--0.034]   type = 11.00 (SB11_A_0_l)   chisq2 = 163.20   ODDS = 1.00   z_cluster = 0.203