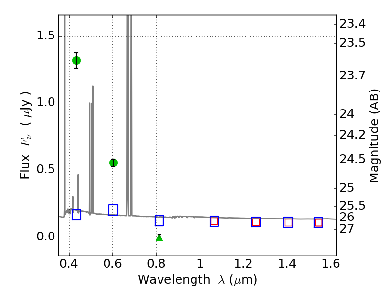
ABELL2163 ACS+IR detection object #7120

Color images and BPZ results
Catalog: 7120.cat
Black segments are analyzed here.   Roll mouse over color images to view segments.
Best viewed in a wide browser window (1200 pixels or more).   Download SED & P(z) plots to view larger versions.
In P(z) plots: Yellow lines mark the cluster redshift z = 0.203,  

Object #7120   x,y = (6944, 2097)   RA, Dec = (16:15:31.560, -6:10:18.84) = (243.88150, -6.17190)   BPZ = 0.018 [0.010--0.036]   type = 11.00 (SB11_A_0_l)   chisq2 = 301.70   ODDS = 1.00   z_cluster = 0.203