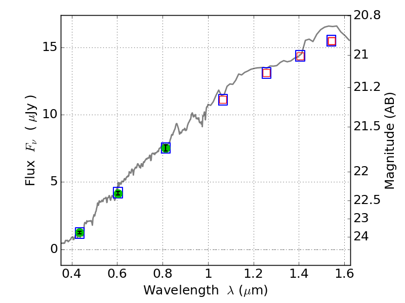
ABELL2163 ACS+IR detection object #6699

Color images and BPZ results
Catalog: 6699.cat
Black segments are analyzed here.   Roll mouse over color images to view segments.
Best viewed in a wide browser window (1200 pixels or more).   Download SED & P(z) plots to view larger versions.
In P(z) plots: Yellow lines mark the cluster redshift z = 0.203,  

Object #6699   x,y = (6492, 2334)   RA, Dec = (16:15:33.384, -6:10:04.80) = (243.88910, -6.16800)   BPZ = 0.137 [0.080--0.356]   type = 4.40 (Ell4_A_0 - ES0_B10)   chisq2 = 0.00   ODDS = 0.71   z_cluster = 0.203