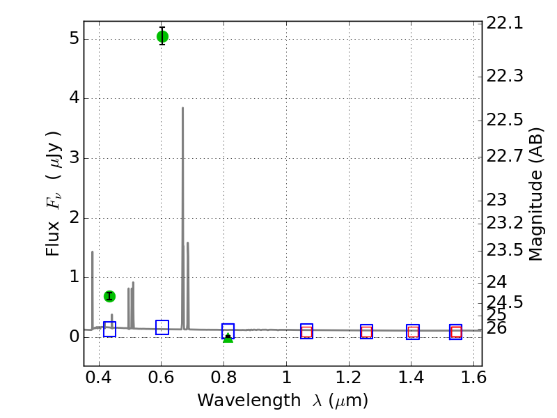
ABELL2163 ACS+IR detection object #6525

Color images and BPZ results
Catalog: 6525.cat
Black segments are analyzed here.   Roll mouse over color images to view segments.
Best viewed in a wide browser window (1200 pixels or more).   Download SED & P(z) plots to view larger versions.
In P(z) plots: Yellow lines mark the cluster redshift z = 0.203,  

Object #6525   x,y = (2497, 2452)   RA, Dec = (16:15:49.440, -6:09:57.60) = (243.95600, -6.16600)   BPZ = 0.021 [0.010--1.929]   type = 11.00 (SB11_A_0_l)   chisq2 = 597.90   ODDS = 0.83   z_cluster = 0.203