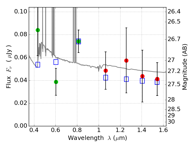
ABELL2163 ACS+IR detection object #6372

Color images and BPZ results
Catalog: 6372.cat
Black segments are analyzed here.   Roll mouse over color images to view segments.
Best viewed in a wide browser window (1200 pixels or more).   Download SED & P(z) plots to view larger versions.
In P(z) plots: Yellow lines mark the cluster redshift z = 0.203,  

Object #6372   x,y = (3659, 2525)   RA, Dec = (16:15:44.784, -6:09:53.28) = (243.93660, -6.16480)   BPZ = 0.171 [0.092--1.002]   type = 11.00 (SB11_A_0_l)   chisq2 = 0.52   ODDS = 0.27   z_cluster = 0.203