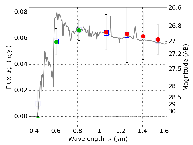
ABELL2163 ACS+IR detection object #6239

Color images and BPZ results
Catalog: 6239.cat
Black segments are analyzed here.   Roll mouse over color images to view segments.
Best viewed in a wide browser window (1200 pixels or more).   Download SED & P(z) plots to view larger versions.
In P(z) plots: Yellow lines mark the cluster redshift z = 0.203,  

Object #6239   x,y = (4512, 2649)   RA, Dec = (16:15:41.352, -6:09:45.72) = (243.92230, -6.16270)   BPZ = 3.765 [0.199--4.222]   type = 10.10 (SB3_B10 - SB11_A_0_l)   chisq2 = 0.04   ODDS = 0.45   z_cluster = 0.203